Neehal Tumma

Hi, I'm Neehal! I am a first-year PhD student at MIT CSAIL, advised by Prof. Daniela Rus. I also work at Liquid AI on scaling efficient foundation models.

My research interests broadly lie in efficient architecture design for autoregressive sequence modeling, particularly LLMs. Within this space, I primarily focus on linear recurrent architectures as a subquadratic alternative to attention-based ones. I am interested in pushing the Pareto-frontier of these recurrent primitives and building an ecosystem to support them for large scale model training and inference.

I graduated from Harvard in 2024 with an SM in Computer Science and an AB in Mathematics and Computer Science. During my undergrad, I was fortunate enough to work with Prof. Nir Shavit and Prof. Finale Doshi-Velez.

Email  /  Google Scholar  /  Twitter  /  GitHub  /  LinkedIn

profile photo
Recent News
May 2026 Preconditioned DeltaNet paper accepted at ICML 2026!
Dec 2025 LFM2 technical report released!
Sep 2025 Started my PhD at MIT EECS, doing research on efficient architectures!
June 2025 Connectomics paper published in Neural Networks journal!
May 2025 Effective state-size paper accepted at ICML 2025!
May 2024 Graduated from Harvard with an AB/SM in Computer Science and Math!
Mar 2024 Started working at Liquid AI on pretraining edge-aware foundation models!
Jan 2024 Low-rank and sparse recurrences paper accepted at ICLR 2024 as a Spotlight!
Publications
Preconditioned DeltaNet
Preconditioned DeltaNet: Curvature-aware Sequence Modeling for Linear Recurrences
Neehal Tumma*, Noel Loo*, Daniela Rus
ICML, 2026
paper / code / tweet

We show that with least-squares preconditioning, DeltaNet and linear attention reduce to the same recurrence. Using this insight, we introduce preconditioned variants of DeltaNet (PDN), Gated DeltaNet (PGDN), and Kimi Delta Attention (PKDA), demonstrating gains across synthetic recall benchmarks and language modeling at the 340M and 1B scale.

LFM2
LFM2 Technical Report
Liquid AI Team
arXiv, 2025
paper / tweet

We introduce LFM2, a family of compact foundation models (350M–8.3B parameters) optimized for edge deployment. Using hardware-in-the-loop architecture search, LFM2 achieves up to 2x faster prefill and decode on CPUs compared to similarly sized models, with extensions to vision-language, speech, and retrieval.

ESS
Quantifying Memory Utilization with Effective State-Size
Rom N. Parnichkun*, Neehal Tumma*, Armin W. Thomas, Alessandro Moro, Qi An, Taiji Suzuki, Atsushi Yamashita, Michael Poli, Stefano Massaroli
ICML, 2025
paper / tweet

We introduce effective state-size (ESS), a principled metric grounded in signal processing and control theory for quantifying how sequence models utilize memory. ESS provides interpretable insights into memory dynamics across attention, convolutions, and recurrent architectures, enabling improved initialization, regularization, and distillation.

Connectomics
A connectomics-driven analysis reveals novel characterization of border regions in mouse visual cortex
Neehal Tumma*, Linghao Kong*, Shashata Sawmya, Tony Tong Wang, Nir Shavit
Neural Networks, 2025
paper

We propose a statistical sliding window framework for analyzing neural connectivity in large-scale connectomics datasets using both the connectivity graph and functional activations. Applied to the MICrONS dataset, we find that the V1-RL border region exhibits greater synaptic connectivity and more synchronous activity, acting as a bridge between visual areas.

Low-Rank Sparse
Leveraging Low-Rank and Sparse Recurrent Connectivity for Robust Closed-Loop Control
Neehal Tumma, Mathias Lechner, Noel Loo, Ramin Hasani, Daniela Rus
ICLR, 2024   (Spotlight, top 5% of submissions)
paper / tweet

We explore how the recurrent connectivity of RNNs, parameterized by rank and sparsity, influences robustness in closed-loop control. We show that low-rank, sparse connectivity induces desirable network dynamics, enabling closed-form continuous-time networks (CfCs) with fewer parameters to outperform their full-rank counterparts under distribution shift.

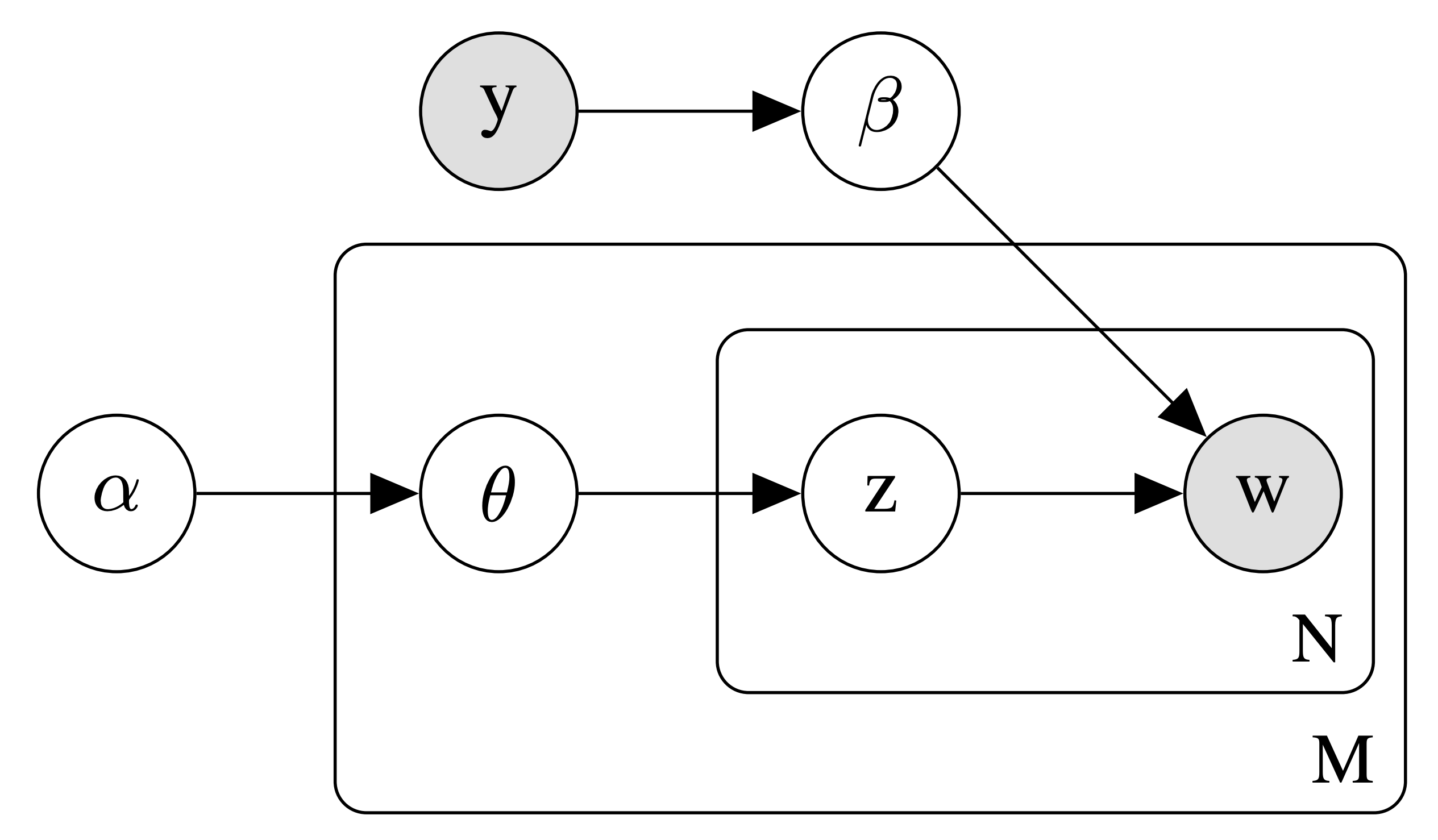
LI-NTM
A Joint Learning Approach for Semi-supervised Neural Topic Modeling
Jeffrey Chiu*, Rajat Mittal*, Neehal Tumma*, Abhishek Sharma, Finale Doshi-Velez
ACL SPNLP, 2022
paper

We introduce the Label-Indexed Neural Topic Model (LI-NTM), the first effective upstream semi-supervised neural topic model. LI-NTM outperforms existing neural topic models in document reconstruction, with the strongest results in low labeled data regimes.